
Informatics Free Full Text Selective Wander Join Fast Progressive Visualizations For Data Joins Html

If Ab Ca 0 Find The Value Of 1 1 B2 Ca 1 C2 Ab Math Meritnation Com

In Excel How To Do A Pairing Of A B C In Form Of Ab Ac Ba Ca Cb Cc Depending Upon The Consecutive Row Values In Particular Column Stack Overflow
Ab+bc+ca0 Find 1a2 Bc+1b2 C1c2 Ab のギャラリー

In Excel How To Do A Pairing Of A B C In Form Of Ab Ac Ba Ca Cb Cc Depending Upon The Consecutive Row Values In Particular Column Stack Overflow
What Is A D If A B 1 2 B C 3 4 C D 5 6 Quora
If Math Ab Ca 0 Math Find The Value Of Math Frac 1 A 2 Frac 1 B 2 Ca Frac 1 C 2 Ab Math Quora

If Ab Ca 0 Then The Value Of 1 A 2 1 B 2 Ca 1 C 2 Ab Will Be
Www Jstor Org Stable

Calcium Inhibitor Inhibits High Glucose Induced Hypertrophy Of H9c2 Cells

If Ab Ca 0 Then The Value Of 1 2 B2 Ac 1 C3 Ab Is Youtube
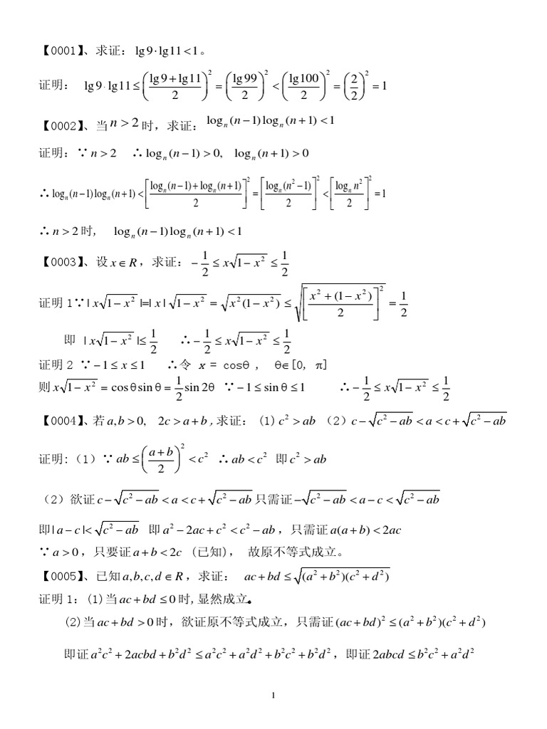
不等式问题集及答案 1 650

Unusual Evolution Of 2 And T C With Inclined Fields In Restacked Tas 2 Nanosheets Npj Quantum Materials

Prove A3 C3 3abc A B C B2 C2 Ab Ac Youtube

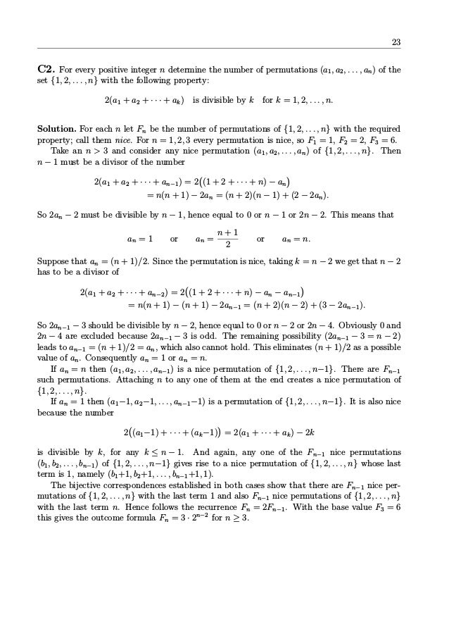
Imo 08

Materials Free Full Text The Significance And Utilisation Of Biomimetic And Bioinspired Strategies In The Field Of Biomedical Material Engineering The Case Of Calcium Phosphat Protein Template Constructs Html

Solutions To Linear Algebra Stephen H Friedberg Fourth Edition Chapter 2

Unit 02 Part 1 Determinant Matrix R 3 And Then Solving The Determinant We Get X 0 Or X2 A B C Ab Ca2 2 2 B Abc 0 A 2 B C 2abc

If Delta A1 B1 C1 B2 C2 A3 C3 And B2 C2 Are Respectively Cofactors Of B2 Youtube

If Ab Ca 0 Then Find 1 1 B2 Ac 1 C2 Ab Brainly In

12 Cbse Maths Matrices Powerpoint Slides

Ex 4 2 14 Using Properties 1 Ab 1 B2 C2

Algebraic Identities Of Polynomials A Plus Topper

If Ab Ca 0 Find The Value Of 1 A 2 1 B 2 Ac 1 C 2 Ab Polynomials Class 9 Youtube
Www Stat Auckland Ac Nz Fewster 325 Notes Ch2annotated Pdf

Ncert Mathematics Class 10th Flip Book Pages 101 150 Pubhtml5
不等式问题集及答案 1 650

Distributive Property Of Matrix Products Video Khan Academy
Using Properties Of Determinants Show The Following B C 2 Ab Ca Ab A C 2 Ac A B 2 2abc A B C 3 Sarthaks Econnect Largest Online Education Community

Lymphoatlas A Dynamic And Integrated Phosphoproteomic Resource Of Tcr Signaling In Primary T Cells Reveals Itsn2 As A Regulator Of Effector Functions Molecular Systems Biology

If Ab Ca 0 Find The Value Of 1 1 B2 Ca 1 C2 Ab Math Meritnation Com

Inequalities Anthony Erb By Arturo Portnoy Issuu
2

If Ab Ca 0 Then The Value Of 1 A 2 1 B 2 Ca 1 C 2 Ab Will Be

Ncert Solutions For Class 12 Maths Chapter 4 Determinants

273 Questions With Answers In Computational Mathematics Science Topic
2
Www Stat Auckland Ac Nz Fewster 325 Notes Ch2annotated Pdf

In Vitro Testing Of Voltage Indicators Archon1 Arclightd Asap1 Asap2s Asap3b Bongwoori Pos6 Berst1 Flicr1 And Chi Vsfp Butterfly Eneuro
2
Link Springer Com Content Pdf 10 1007 2f978 1 349 3 6 Pdf

Pdf 150 Geometry Problems With Solutions Amir Hossein Parvardi Academia Edu
Link Springer Com Content Pdf 10 1007 2f978 1 349 3 6 Pdf
Http Www Isinj Com Mt Usamo Problems and solutions in euclidean geometry aref wernick Dover 1968 Pdf

Ab Ac 0 Find The Value Of 1 1 B2 Ca 1 C2 Ab 2 Is Sqaure Brainly In

Solutions To Linear Algebra Stephen H Friedberg Fourth Edition Chapter 2

Gnu Unifont Glyphs

Homework Section 1
2

Class Xii Practice Questions

Ex 4 2 8 Show Using Property I 1 A 1 B B2 1 C Ca

Unit 02 Part 1 Determinant Matrix R 3 And Then Solving The Determinant We Get X 0 Or X2 A B C Ab Ca2 2 2 B Abc 0 A 2 B C 2abc

Ex 4 2 14 Using Properties 1 Ab 1 B2 C2

Ex 4 2 8 Show Using Property I 1 A 1 B B2 1 C Ca

The Effects Of Listener Training On The Development Of Analogical Reasoning Meyer 19 Journal Of The Experimental Analysis Of Behavior Wiley Online Library
Www Uplifteducation Org Cms Lib Tx Centricity Domain 291 Trigonometric Functions Practice Calc 18 key Pdf

Desigualdades Problemas Problema De Desigualdades Docsity
If The Points A 3 A 1 A 2 3 A 1 B 3 B 1 B 2 3 B 1 And C 3 C 1 C 2 3 C 1 Are Collinear For Three Distinct Values A B C And A B C Are Not Equal To 1 Then Find The Value Of Abc Ab Ca 3 A B C

Imo 08

If Ab Ca 0 Then The Value Of 1 A 2 1 B 2 Ca 1 C 2 Ab Will Be
Www Ams Org Journals Notices 0510 0510fullissue Pdf

Pdf Nice Geometry Problems Thị Mỹ Ngọc Huỳnh Academia Edu

Retrieval Based Model Accounts For Striking Profile Of Episodic Memory And Generalization Scientific Reports

Rcsb Pdb 3j3q Atomic Level Structure Of The Entire Hiv 1 Capsid
Using Properties Of Determinants Prove The Following A 2 1 Ab Ac Ab B 2 1 Ca Cb C 2 1 1 A 2 B 2 C 2 Sarthaks Econnect Largest Online Education Community

938cig5ko9rz7m

Using Properties Of Determinants Prove The Following 1 A3 1 B2 Ca A B B C C A B2 C2 1 C2 Ab C3 Math Determinants Meritnation Com
Http Opensiuc Lib Siu Edu Cgi Viewcontent Cgi Article 1168 Context Tpr
Www Manhassetschools Org Cms Lib Ny Centricity Domain 265 Mod 4 aim 12 10h Pdf

Hex To Binary Converter Hexadecimal To Binary

Computational Study Of Regiodivergent Pathways In The Copper Catalyzed Borocyanation Of 1 3 Dienes Mechanism And Origin Of Regioselectivity Sciencedirect
Http Www Math Odu Edu Jhh Geometry Pdf

12 Cbse Maths Matrices Powerpoint Slides
Www Manhassetschools Org Cms Lib Ny Centricity Domain 265 Mod 4 aim 12 10h Pdf

If A B Ca Equals To Zero Find The Value Of One Upon A Square Minus B C Plus One Upon B Square Brainly In
Gale Academic Onefile Document A Three Dimensional Simulation Of Particle Distribution In A Separator And Structure Optimization With The Statistical Approach Of uchi Method
Using Properties Of Determinants Show The Following B C 2 Ab Ca Ab A C 2 Ac A B 2 2abc A B C 3 Sarthaks Econnect Largest Online Education Community

Chapter 7 Move And Neighborhood Selection
Link Springer Com Content Pdf 10 1007 2f978 1 349 3 6 Pdf
Gale Academic Onefile Document A Three Dimensional Simulation Of Particle Distribution In A Separator And Structure Optimization With The Statistical Approach Of uchi Method

If B2 C2 0 And Matrix B C2 Ab A Ca Ab C2 A 1 Ac
Rijndael S Box Wikipedia
If The Points A 3 A 1 A 2 3 A 1 B 3 B 1 B 2 3 B 1 And C 3 C 1 C 2 3 C 1 Are Collinear For Three Distinct Values A B C And A B C Are Not Equal To 1 Then Find The Value Of Abc Ab Ca 3 A B C

Carbon Metal Compound Composite Electrodes For Capacitive Deionization Synthesis Development And Applications Journal Of Materials Chemistry A Rsc Publishing

If Math Ab Ca 0 Math Find The Value Of Math Frac 1 A 2 Frac 1 B 2 Ca Frac 1 C 2 Ab Math Quora
Projecteuclid Org Download Pdf 1 Euclid Chmm
Morphological And Physiological Responses Of Dalbergia Odorifera T Chen Seedlings To Different Culture Substances

Three Dimensional Thermal Illusion Devices With Arbitrary Shape

Inequalities Anthony Erb By Arturo Portnoy Issuu
Http Download Oliveboard In Pdf Ssccgltier2solvedpaper16 Pdf

Let A Band C Detnote The Sides Ca Andab Respective

Associative Property Of Matrix Multiplication Video Khan Academy
Http Catalogue Pearsoned Ca Assets Hip Us Hip Us Pearsonhighered Samplechapter Pdf

18 G12 Math E Flip Book Pages 401 421 Pubhtml5

Desigualdades Problemas Problema De Desigualdades Docsity

Resonance Aieee Iit Study Material Maths Complete Pdf By S Dharmaraj Issuu

Polymyxin B Effects On Motility Parameters Of Cryopreserved Bull Semen Rashedi M Fazeli Mh Gholami H Bahreini M Asian Pac J Reprod

04 Determinants Mathematics Part I

Network Synchronization And Synchrony Propagation Emergent Elements Of Inspiration Biorxiv

Reorganization Of Equivalence Classes Effects Of Preliminary Training And Meaningful Stimuli Arntzen 18 Journal Of The Experimental Analysis Of Behavior Wiley Online Library

The Pan Genome Of Treponema Pallidum Reveals Differences In Genome Plasticity Between Subspecies Related To Venereal And Non Venereal Syphilis Bmc Genomics Full Text


 
        
